Artigo Original

Coleta de dados e análise da recorrência familial de distúrbios psiquiátricos e demais fatores de risco em pacientes com esquizofrenia

Data collection and analysis of familial recurrence of psychiatric disorders and other risk factors in schizophrenic patients

Recopilación y análisis de datos sobre la recurrencia familiar de trastornos psiquiátricos y otros factores de riesgo en pacientes esquizofrénicos

1. Mariana Marques Seixas
e-mail orcid orcid

2. Marina Oliveira Sustovich
orcid orcid

3. Marta Wey Vieira
orcid orcid

4. Elaine Henna
orcid orcid

5. Jorge Henna Neto
orcid orcid

Filiação dos autores:

1 [Doutorando, Psicologia Clínica & Neurociências, Pontifícia Universidade Católica do Rio de Janeiro, PUC-RJ, Rio de Janeiro, RJ, Brasil]

1, 2 [Graduandas, Medicina, Pontifícia Universidade Católica de São Paulo, PUCSP, Sorocaba, SP, Brasil]

3, 4, 5 [Docente, Medicina, Pontifícia Universidade Católica de São Paulo, PUCSP, Sorocaba, SP, Brasil]

Editor Chefe responsável pelo artigo: Leonardo Baldaçara

Contribuição dos autores segundo a Taxonomia CRediT: Seixas MM [3,5,9,12,13]; Sustovich MO [3,4,5,9,12,13]; Vieira MW, Henna E [1,2,6,7,10,11,14]; Henna JG Neto [1,2,6,8,11,14].

Conflito de interesses: declaram não haver.

Fonte de financiamento: declaram não haver

Parecer CEP: Programa Institucional de Bolsas de Iniciação Científica (PIBIC) - Conselho de Ensino, Pesquisa e Extensão (CEPE) da Fundação São Paulo (FUNDASP).

Recebido em: 03/06/2025 | Aprovado em: 17/08/2025 | Publicado em: 31/08/2025

Como citar: Seixas MM, Sustovich MO, Vieira MW, Henna E, Henna JG Neto. Coleta de dados e análise da recorrência familial de distúrbios psiquiátricos e demais fatores de risco em pacientes com Esquizofrenia. Debates Psiquiatr. 2025;15:1-21. https://doi.org/10.25118/2763-9037.2025.v15.1471

Resumo

Introdução: A esquizofrenia é uma doença psiquiátrica complexa caracterizada por sintomas como alucinações, delírios, discurso desorganizado, alterações comportamentais e déficits cognitivos. Sua etiologia é multifatorial, envolvendo interações entre fatores genéticos, alterações neuroquímicas e neuroestruturais, bem como influências ambientais, como complicações obstétricas e uso de substâncias. Nesse contexto, a recorrência familiar se destaca como um importante indicador de risco, refletindo a contribuição genética na vulnerabilidade ao transtorno. Objetivo: Avaliar a recorrência familiar de transtornos psiquiátricos e outros fatores de risco em pacientes com esquizofrenia atendidos no ambulatório do Conjunto Hospitalar de Sorocaba. Método: Estudo naturalístico com 30 pacientes diagnosticados com esquizofrenia, utilizando questionário detalhado sobre histórico familiar, gestacional, desenvolvimento neuropsicomotor, idade de início dos sintomas e uso de substâncias. Foram construídos heredogramas familiares e realizadas análises descritivas, comparações entre sexos e correlações exploratórias. Modelos de regressão linear foram aplicados para investigar associações entre diferentes variáveis explicativas e características clínicas dos pacientes, incluindo idade de início, exposição a fatores de risco e antecedentes familiares. Resultados: A amostra apresentou idade média de 34 anos, sendo 53% mulheres. Observou-se histórico familiar de transtornos psiquiátricos em 87% dos pacientes, com maior prevalência entre parentes de primeiro grau. Transtornos mentais durante a gestação mostraram forte associação com a ocorrência de esquizofrenia nos pacientes. Além disso, identificou-se prevalência de uso de álcool, tabaco e cannabis, assim como dificuldades de sociabilidade e comprometimento cognitivo associados ao início precoce da doença. Entre as variáveis analisadas, a ocorrência de transtornos mentais na gestação destacou-se como um fator relevante na manifestação clínica da esquizofrenia. Conclusão: Os achados reforçam a natureza multifatorial da esquizofrenia, demonstrando a importância de considerar fatores genéticos, familiares, gestacionais e comportamentais na avaliação clínica. A compreensão desses elementos contribui para o manejo adequado e para estratégias preventivas em populações de risco.

Palavras-chave: esquizofrenia, padrões de herança, fatores de risco, transtornos mentais na gestação.

Abstract

Introduction: Schizophrenia is a complex psychiatric disorder characterized by hallucinations, delusions, disorganized speech, behavioral alterations, and cognitive deficits. Its etiology is multifactorial, involving interactions among genetic factors, neurochemical and neurostructural alterations, as well as environmental influences such as obstetric complications and substance use. In this context, family history emerges as a key risk indicator, reflecting the genetic contribution to individual vulnerability. Objective: To evaluate familial recurrence of psychiatric disorders and other risk factors in patients with schizophrenia attending the outpatient clinic at Conjunto Hospitalar de Sorocaba. Method: This naturalistic study included 30 patients diagnosed with schizophrenia, using a detailed questionnaire addressing family and gestational history, neuropsychomotor development, age at symptom onset, and substance use. Family pedigrees were constructed, and descriptive analyses, sex-based comparisons, and exploratory correlations were performed. Linear regression models were applied to examine associations between explanatory variables and clinical characteristics, including age at onset, exposure to risk factors, and family history. Results: The sample had a mean age of 34 years, with 53% female. Family history of psychiatric disorders was observed in 87% of patients, predominantly among first-degree relatives. Mental disorders during gestation were strongly associated with schizophrenia occurrence in patients. Additionally, alcohol, tobacco, and cannabis use were prevalent, alongside social difficulties and cognitive impairment linked to early disease onset. Among analyzed variables, maternal mental disorders during pregnancy were identified as a key factor influencing schizophrenia manifestation. Conclusion: Findings underscore the multifactorial nature of schizophrenia, highlighting the relevance of genetic, familial, gestational, and behavioral factors in clinical assessment. Understanding these elements contributes to appropriate patient management and preventive strategies in at-risk populations.

Keywords: schizophrenia, familial recurrence, risk factors, mental disorders during pregnancy.

Resumen

Introducción: La esquizofrenia es un trastorno psiquiátrico complejo caracterizado por alucinaciones, delirios, discurso desorganizado, alteraciones conductuales y déficits cognitivos. Su etiología es multifactorial, involucrando interacciones entre factores genéticos, alteraciones neuroquímicas y neuroestructurales, así como influencias ambientales como complicaciones obstétricas y consumo de sustancias. En este contexto, la historia familiar se destaca como un indicador importante de riesgo, reflejando la contribución genética a la vulnerabilidad individual. Objetivo: Evaluar la recurrencia familiar de trastornos psiquiátricos y otros factores de riesgo en pacientes con esquizofrenia atendidos en el ambulatorio del Conjunto Hospitalar de Sorocaba. Método: Estudio naturalístico con 30 pacientes diagnosticados con esquizofrenia, utilizando un cuestionario detallado sobre antecedentes familiares y gestacionales, desarrollo neuropsicomotor, edad de inicio de los síntomas y consumo de sustancias. Se construyeron heredogramas familiares y se realizaron análisis descriptivos, comparaciones por sexo y correlaciones exploratorias. Se aplicaron modelos de regresión lineal para examinar asociaciones entre variables explicativas y características clínicas, incluyendo edad de inicio, exposición a factores de riesgo y antecedentes familiares. Resultados: La muestra presentó una edad media de 34 años, con 53% de mujeres. Se observó historia familiar de trastornos psiquiátricos en 87% de los pacientes, principalmente entre familiares de primer grado. Los trastornos mentales durante la gestación se asociaron fuertemente con la ocurrencia de esquizofrenia en los pacientes. Además, se encontró prevalencia de consumo de alcohol, tabaco y cannabis, así como dificultades sociales y deterioro cognitivo asociados al inicio precoz de la enfermedad. Entre las variables analizadas, los trastornos mentales maternos durante el embarazo fueron identificados como un factor clave en la manifestación de la esquizofrenia. Conclusión: Los hallazgos refuerzan la naturaleza multifactorial de la esquizofrenia, destacando la relevancia de factores genéticos, familiares, gestacionales y conductuales en la evaluación clínica. La comprensión de estos elementos contribuye al manejo adecuado del paciente y al desarrollo de estrategias preventivas en poblaciones de riesgo.

Palabras clave: esquizofrenia, recurrencia familiar, factores de riesgo, trastornos mentales durante la gestación.

Introdução

A esquizofrenia é uma doença psiquiátrica marcada por diversos sintomas, como alucinações, delírios, discurso desorganizado, alterações do comportamento e déficits cognitivos, podendo comprometer funções executivas como memória e velocidade de processamento mental . Segundo a Organização Mundial da Saúde, em um espectro de todas as doenças, a esquizofrenia é a terceira causa de perda de qualidade de vida entre os 15 e 44 anos . A síndrome afeta quase 1% da população mundial e está entre as 10 principais causas globais de incapacidade .

Nesse cenário, torna-se relevante evidenciar uma perspectiva integrativa das hipóteses que envolvem o estudo da gênese dessa doença, visto que seus mecanismos não são sistemas isolados, mas sim coexistentes. Dentre os modelos teóricos desenvolvidos, destacam-se aquelas de bases neuroquímicas, que envolvem alterações em neurotransmissores e neuromoduladores, como dopamina, serotonina, glutamato e adenosina, além de mudanças neuroestruturais, como redução no volume de regiões corticais e disfunção em circuitos cerebrais .

A associação entre predisposição genética e esquizofrenia está entre a teoria mais fundamentada e aceita na literatura científica. Pesquisas de associação genômica ampla (GWAS) encontraram mais de 200 polimorfismos de nucleotídeo único (SNPs) que conferem risco para esquizofrenia, sendo que há sobreposição com outras síndromes psiquiátricas, sobretudo com transtorno bipolar. Adicionalmente, outras formas de variação genética, como variantes do número de cópias (CNVs) e variantes identificadas por sequenciamento indicam um papel importante na base genética da esquizofrenia . Estudos demonstram que o risco de desenvolver a doença aumenta significativamente conforme o grau de parentesco com um indivíduo já diagnosticado, sendo cerca de 10 vezes maior entre parentes de primeiro grau . Além disso, a esquizofrenia apresenta uma taxa de herdabilidade, estimada em 0,83, uma das mais altas entre os transtornos psiquiátricos .

A influência de fatores ambientais e comportamentais também tem papel significativo no desenvolvimento da esquizofrenia. Essa relevância fica evidente ao se observar estudos com gêmeos: entre os monozigóticos, que compartilham 100% do material genético, a taxa de concordância para esquizofrenia é de aproximadamente 50%; já entre os dizigóticos, que compartilham cerca de 50% dos genes, essa taxa é de cerca de 15% . Esses dados indicam que, embora uma exposição ambiental sofra influência das características genética do indivíduo sujeito a ela, a carga genética não é o único determinante para o desenvolvimento da doença, o que reforça seu caráter multifatorial.

Nesse cenário, outros fatores de risco podem influenciar no desenvolvimento da esquizofrenia, entre eles: complicações obstétricas e riscos tardios, como o uso de maconha. O primeiro está relacionado a complicações que podem levar danos cerebrais ao bebê, como insultos hipóxicos e isquêmicos, além da exposição pré-natal à vírus neurotóxicos e transtornos autoimunes, ressaltando uma relação positiva entre o espectro da esquizofrenia e estresse materno, infecções e asfixia periparto . Já em relação ao uso da cannabis há duas hipóteses centrais que explicam essa associação: a de automedicação e a de vulnerabilidade. Na automedicação, os pacientes utilizam a cannabis para aliviar sintomas negativos, embora evidências mostrem que a maconha tem potencial de exacerbar a sintomatologia de pacientes com transtornos psiquiátricos. Em contraponto, a hipótese de vulnerabilidade sugere que o uso da droga atua como gatilho em indivíduos predispostos geneticamente . O abuso de cannabis sete anos antecedendo ao diagnóstico de esquizofrenia foi associado a um risco duas vezes maior, com maiores chances de uso de cannabis mais perto do diagnóstico . Há evidências que o uso de cannabis está relacionado a uma apresentação clínica mais precoce do transtorno, além de aumentar os sintomas psicóticos e a apatia, intensificando o curso da doença .

Todos esses fatores estão associados e implicados no desencadeamento da doença, que apresenta uma etiologia multifatorial, ainda assim o estudo de cada aspecto como padrões familiares, comportamentos e construção de heredogramas poderia ser útil na compreensão do poder de cada um deles em determinada população. Dessa forma, o presente estudo objetivou estudar a presença de história familiar de transtornos psicóticos em parentes até o quarto grau, complicações gestacionais, desenvolvimento neuropsicomotor, idade de abertura do quadro, uso pregresso e atual de cannabis, álcool e tabagismo em pacientes do Conjunto Hospitalar de Sorocaba (CHS) com diagnóstico de esquizofrenia.

Método

Trata-se de um estudo naturalístico, realizado através de um questionário aplicado a 30 pacientes diagnosticados com Esquizofrenia, que frequentam o ambulatório de psiquiatria do Conjunto Hospitalar de Sorocaba (CHS).

Os critérios de seleção dos pacientes foram: 1. ter diagnóstico de esquizofrenia confirmado, segundo o DSM V, 2. estar em tratamento com medicamentos antipsicóticos e estarem em controle psicopatológico e 3. ter nacionalidade brasileira. Os critérios de exclusão foram: 1. menores de 18 anos, 2. portadores de doenças neurológicas e 3. portadores de outras condições que justifiquem o quadro psiquiátrico. Foi dada preferência aos pacientes que foram acompanhados com responsável para as consultas, uma vez que, muitas vezes, a coleta de dados foi mais eficiente com os informantes do que com os próprios pacientes.

O questionário abordou as seguintes questões identificação do paciente (nome, idade, escolaridade, naturalidade, procedência, estado civil, profissão e religião); antecedentes obstétricos e neonatais (via de parto e complicações do período perinatal ao lactente); desenvolvimento intelectual e neuropsicomotor (dificuldade na alfabetização, aprendizagem e marcos do desenvolvimento infantil); sociabilidade (“bullying”, dificuldade em fazer e manter amizades); hábitos e vícios (qualidade da alimentação, uso atual e pregresso de álcool, cigarro, drogas, uso de estimulantes como energéticos e outras bebidas com cafeína); histórico familiar (construção do heredograma familiar, identificação de familiares com diagnóstico psiquiátrico e grau de parentesco) e idade de diagnóstico da esquizofrenia.

O desenvolvimento dos heredogramas foram concluídos através das respostas obtidas durante a aplicação da ficha de coleta de dados e após a análise da mesma.

Realizamos uma análise descritiva, apresentando os dados categoriais em frequência e porcentagem e os contínuos em media e desvio-padrão. Realizamos uma comparação entre os sexos masculino e feminino utilizando teste t ou qui-quadrado, de acordo com o tipo de variável. Além disso, conduzimos uma análise exploratória de correlação de Spearman com cálculo de coeficientes de correlação; subsequentemente, utilizamos um modelo de regressão linear automático, tendo como variável dependente a idade de inicio da esquizofrenia e as demais como explicativas. A análise de dados foi realizada através do IBM SPSS Statistics for Windows, version 25 (IBM Corp., Armonk, N.Y., USA).

O estudo foi aprovado pela instituição participante e pelo Comitê de Ética da Faculdade de Ciências Médicas e da Saúde da Pontifícia Universidade Católica de São Paulo (FCMS/PUC) sob o número: 6.048.919. Todos os participantes assinaram o Termo de Consentimento Livre e Esclarecido antes de qualquer procedimento.

Resultados

Nossa amostra foi composta por 30 sujeitos, sendo 16 (53,3%) mulheres e 14 (46,7%) homens, com idade média (DP) de 34,2 (12,9). Dos 30 pacientes, 3 (10%) eram casados, 26 (86,67%) solteiros e 1 (3,34%) divorciado. Quanto à escolaridade, 14 (46,67%) não completaram o primeiro grau, 7 (23,34%) completaram primeiro grau, 2 (6,67%) não completaram o segundo grau, 3 completaram o segundo grau (10%), 2 (6,67%) não completaram o ensino superior e 2 (6,67%) completaram o ensino superior.

Os demais dados descritivos estão detalhados na Quadro 1.

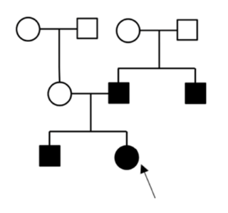
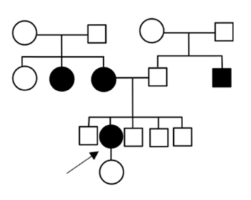
A partir dos dados coletados, para cada sujeito foi construído um heredograma, como exemplificado nas Figuras 1 e 2.

Imagem para zoom
Imagem para zoom

No Quadro 2 encontram-se as associações que foram significativas na análise de correlação de Spearman.

O modelo automático de regressão linear revelou que entre todas as variáveis explicativas a única que justificou o aparecimento precoce da esquizofrenia foi a presença de transtorno mental durante a gestação. Nosso modelo explicou 46,4% da variância do aparecimento antes dos 20 anos de idade e a presença de transtorno mental na gestação foi fortemente associado a isso (R² = 1.0; p<0,001).

Discussão

As pesquisas realizadas para entender as possíveis causas de esquizofrenia partem de princípios relacionados com neurotransmissores (hipótese dopaminérgica, serotoninérgica, glutamatérgica e associada à adenosina), alterações neuroestruturais, fatores genéticos e riscos como complicações obstétricas, incidência de transtorno mental na gestação do paciente e uso de drogas como cannabis, cigarro e álcool . Sendo assim, embora se trate de um distúrbio multifatorial, esse estudo focou em tentar associar o desenvolvimento da esquizofrenia à exposição de fatores de risco durante a vida do paciente e à recorrência familial da doença.

Foram levantados dados relacionados com idade de diagnóstico, sociabilidade, desenvolvimento intelectual (alfabetização) e neuropsicomotor, uso de cannabis, tabagismo, consumo de álcool, presença de algum familiar com um distúrbio mental, o grau de parentesco em relação ao paciente e a presença de transtorno mental e comprometimento físico na gestação.

Consistentemente com a literatura, que relata o aparecimento da esquizofrenia durante a adolescência e começo da idade adulta , 80% da nossa amostra refere abertura do quadro antes dos 20 anos até os 30 anos. A concomitância do aparecimento dos sintomas do distúrbio em um período de introdução à vida social da maioria dos pacientes entrevistados pode causar danos ao desenvolvimento de habilidades socias. Nesse período, onde se espera comportamentos extrovertidos de socialização e amplitude de experiências habitualmente associados à adolescência, tem sido observada uma inversão de expectativas, sendo vistos isolamento, dificuldade de manter relações de amizade, comportamentos agressivos com família e amigos, falta de interesse, anedonia e, até mesmo, início do tabagismo, uso de álcool e drogas . Fato relatado em nossa amostra, onde 53% da amostra afirmou ter tido dificuldade de sociabilidade, o que incluiu dificuldade em fazer amigos, preferir a própria companhia, não ter prazer na vida social e sofrer bullying. Em nossa amostra, o início precoce do aparecimento da doença esteve associado a maior dificuldade em socialização, reforçando as descrições de maior isolamento social e deterioração em jovens com esquizofrenia .

Quanto às possíveis hipóteses de causalidade, tem sido sugerido que alterações cerebrais causadas no período gestacional dos pacientes, as quais podem surgir por insultos hipóxicos e isquêmicos, além da exposição pré-natal à vírus neurotóxicos e transtornos autoimunes possam interferir na diferenciação neuronal, desencadeando respostas aberrantes e transtornos mentais e autoimunes . Nossos dados apontam alta significância na presença desse marcador em análise, demonstrando que 46% dos pacientes afirmaram a presença de comprometimentos físicos e/ou mentais causados, principalmente, por violência doméstica, infecções e transtornos psiquiátricos durante a gestação. Além disso, 17% dos entrevistados confirmaram a presença de complicações do período neonatal ao lactente como internações, prematuridade, infecções e outras questões de saúde comuns desse período. E alterações no DNPM associaram-se a comprometimento físico e mental na gestação.

O uso de maconha foi presente em algum momento da vida de 30% dos pacientes, tanto de forma precoce ao surgimento do quadro clínico esquizofreniforme, como em fases ativas da doença, fator preditivo pela literatura, a qual demonstra uma associação positiva entre o abuso de maconha na adolescência e o risco aumentado para o diagnóstico de esquizofrenia no futuro, além do uso com finalidade de amenizar sintomas perturbadores, como uma forma de automedicação .

O uso dessa droga se inicia, em grande parte, durante a idade escolar, evidenciando uma relação entre o abuso de substâncias e a faixa etária comum de 20 e 30 anos na qual se inicia o aparecimento dos sintomas.

Estudos recentes têm avaliado a variação da Fração de Risco Atribuível à População (FRAP) para transtornos por uso de cannabis (TUC) associados à esquizofrenia. Dentro destes, destacam-se dois estudos, um dinamarquês, realizado em 2021 e outro canadense de 2025 com amostragens importantes (7 e 13,5 milhões de pessoas, respectivamente), os quais puderam comprovar um aumento de três a quatro vezes do FRAP para TUC relacionados à esquizofrenia dentro de, aproximadamente, 15 anos. Também foi relatado o aumento de novos casos de psicoses induzidos pelo uso de cannabis, principalmente em indivíduos jovens, indo de acordo com o analisado no presente trabalho, no qual o período de juventude se há mais exposição e uso de tal substância.

Entretanto, embora tenha havido uma associação entre uso de cannabis e sexo masculino, o uso de cannabis na adolescência não explicou o aparecimento da psicose em nossa amostra.

Sessenta porcento dos pacientes da pesquisa afirmaram ser etilistas atuais ou pregressos e 27% tabagistas, salientando sua relação com o surgimento de sintomas e o aparecimento do distúrbio. O uso dessas substâncias acaba sendo uma forma do próprio paciente escapar do contexto em que está submetido na tentativa de aliviar sintomas e dificuldades sociais que esse encontra, contribuindo como um fator de risco para o desenvolvimento da patologia, percebendo e confirmando, portanto, que há vários fatores que justifiquem um maior abuso dessas substâncias por pacientes portadores de esquizofrenia . Tal resultado observado em relação a recorrência da prática tabagista em pacientes esquizofrênicos vai de acordo com um levantamento efetuado nos Estados Unidos que diz que, nos últimos 20 anos, há um domínio de tabagistas esquizofrênicos em relação à população em geral, visto que a nicotina interfere nos neurotransmissores, podendo assim influenciar no quadro psicótico do paciente e na sua resposta ao tratamento . Em relação ao álcool, a maioria dos pacientes entrevistados faziam uso ou eram dependentes do mesmo, indo de acordo com o estudo do Instituto de Psiquiatria da Universidade de Darmouth que evidenciou que pacientes com esquizofrenia apresentam três vezes mais risco de abuso de álcool em relação a população geral. A partir disso, foi evidenciado que o álcool pode ocasionar polimorfismos genéticos no cérebro que podem contribuir como um fator de risco de vulnerabilidade para esquizofrenia. Portanto, está de acordo com a literatura o fato que substâncias que provoquem alguma lesão no cérebro podem ocasionar o surgimento de sintomas esquizofrênicos no início da vida adulta .

Entretanto, sabe-se que o uso de drogas, álcool e a prática tabagista não são imperativos para o surgimento de esquizofrenia e, sim, entram como fatores de risco para a manifestação de sintomas naqueles pacientes vulneráveis, o que poderia parcialmente explicar nossos resultados. Observamos também que o tabagismo esteve associado à baixa escolaridade, exemplificando resultados de estudos de coortes e análises de gêmeos que mostram que níveis educacionais mais baixos estão consistentemente associados a maior prevalência de tabagismo, mesmo após controle para fatores genéticos e de background social, sugerindo um efeito causal da escolaridade sobre o risco de fumar e sobre a cessação do tabagismo .

Outro aspecto relacionado à esquizofrenia está na vulnerabilidade genética . Mais especificamente, quanto maior a proximidade familiar de um membro afetado, maior o risco de desenvolvimento de esquizofrenia .

Recentemente, estudos genômicos vem sendo realizados, a partir da associação de genoma completo (GWAS) e estudos de sequenciamento, com o intuito de identificar variantes genéticas associadas a características específicas e determinar sequências de nucleotídeos do DNA. A partir desses métodos, foram identificadas variantes genéticas (polimorfismo, variantes de número de cópias e variantes de codificação rara) que contribuem no risco para o desenvolvimento de esquizofrenia e outros transtornos mentais . Esses achados genômicos reforçam a existência de uma pleiotropia genética significativa entre a esquizofrenia, o transtorno bipolar e a depressão maior, indicando que variantes genéticas comuns podem atuar como fatores de risco compartilhados entre esses transtornos. Estudos recentes demonstram que a correlação genética entre esquizofrenia e transtorno bipolar é substancial, enquanto a correlação entre depressão e os demais transtornos é moderada. Além disso, a suscetibilidade genética ao transtorno bipolar tipo 1 apresenta uma forte sobreposição com a da esquizofrenia, enquanto o transtorno bipolar tipo 2 mostra maior correlação com a depressão. Estima-se que quase todas as variantes associadas ao risco de transtorno bipolar também estejam envolvidas no risco para esquizofrenia, e que cerca de 90% dessas variantes sejam compartilhadas com a depressão. Esses dados indicam que os processos biológicos subjacentes a esses transtornos são mais similares do que previamente considerado com base apenas em diagnósticos clínicos, e que a predisposição genética pode se manifestar em diferentes formas clínicas, influenciada por fatores ambientais e pela interação com variantes não compartilhadas. Assim, a identificação de variantes genéticas comuns e raras não apenas esclarece a base genética da esquizofrenia, como também amplia a compreensão sobre sua sobreposição etiológica com outros transtornos mentais graves .

Consistentemente com a literatura, 86,67% apresentaram histórico de distúrbio mental na família, sendo que 36% possuem familiares afetados apenas de primeiro grau, 12% apenas de segundo grau e 16% tanto de primeiro, quanto de segundo grau, expondo a concordância entre grau de parentesco e aumento da probabilidade de aparecimento de transtornos psiquiátricos. Do mesmo modo, dentre os pacientes com recorrência familial desses distúrbios, 50% dos acometidos eram casos de esquizofrenia, descartando aqueles que não sabiam relatar o diagnóstico preciso, embora afirmaram haver um diagnóstico feito por médico, sintomas psicóticos, uso de medicamentos antipsicóticos e acompanhamento com psiquiatra. Nota-se, portanto, uma relação, não apenas de grau de parentesco e incidência de quaisquer transtornos psiquiátricos na família, como, também, da ocorrência da própria esquizofrenia entre os familiares dos pacientes acometidos, um dos maiores fatores de risco para o desenvolvimento da doença . Observando tais referências genéticas nas variáveis explicativas, esperávamos que a história familiar fosse a variável de maior predição do modelo, entretanto, embora tenhamos encontrado uma associação entre história familiar e inicio da doença, essa relação não se manteve na análise de regressão. Aliás, a única variável explicativa, que respondeu 100%, pela doença em nossa amostra foi a ocorrência de transtorno mental durante a gestação.

Sendo assim, após a análise feita com os 30 pacientes do estudo, é possível inferir a importância de uma abordagem completa com os pacientes com esquizofrenia, uma vez que se trata de um distúrbio multifatorial, o qual tem seu surgimento atrelado aos fatores genéticos e ao estilo de vida, o que inclui antecedentes pessoais e familiares do paciente, contribuindo para a manifestação da patologia no início da idade adulta.

Infere-se, portanto, que o aperfeiçoamento do entendimento sobre a etiologia da esquizofrenia contribui para a avaliação médica e para o bem-estar do paciente, como observados no presente estudo.

Conclusões

A metodologia permitiu trazer resultados em relação ao desenvolvimento da esquizofrenia, os hábitos e histórico familiar dos pacientes entrevistados. De acordo com a literatura, o histórico familiar é um dos principais fatores de risco para o surgimento da doença, e parte dos dados obtidos na pesquisa corroborou essa relação. A presença de transtornos mentais em membros da família demonstrou ser um elemento relevante na avaliação de pacientes psiquiátricos. Entretanto, não se desconsiderou outros riscos que contribuam para a evolução do quadro, reforçando a importância de considerar a etiologia multifatorial da doença.

A incidência de transtorno mental na gestação mostrou maior incidência de esquizofrenia em nossas pesquisas. Os dados não demonstraram os fatores familiares como relevantes da incidência da esquizofrenia e mostraram tendencia ao uso de álcool e maconha.

Como apresentado na metodologia, a pesquisa foi naturalística e com um N pequeno, por se tratar de um projeto de iniciação científica. A análise do heredograma foi com familiares variados e, por isso, algumas informações podem ter sido desconsideradas à época das entrevistas com a incidência familiar de esquizofrenia e outros transtornos mentais, uso de substâncias e desenvolvimento cognitivo comportamental.

A literatura é ampla em análises como as nossas porém, podemos demonstrar timidamente o perfil dessa população em nosso meio e, evidentemente, maior número de pesquisar devem ser realizadas a fim de concordar ou não com a análise.

Agradecimentos

Agradecemos aos pacientes participantes e à toda equipe do Ambulatório de Psiquiatria do Conjunto Hospitalar de Sorocaba, que, por 9 meses, nos ajudaram e estiveram ao nosso lado semanalmente. Em especial, aos residentes de Psiquiatria da Instituição, pela paciência, apoio e contribuição para a realização da pesquisa. Agradecemos também à coautora Profa. Dra. Elaine Henna, pela valiosa colaboração na revisão estatística, gentilmente realizada em prazo exíguo.

Referências

1. Marder SR, Cannon TD. Schizophrenia. N Engl J Med. 2019;381(18):1753-1761 https://doi.org/10.1056/NEJMra1808803 PMid:31665579

2. Ministério da Saúde (BR). Dia Nacional da Pessoa com Esquizofrenia: Cercada de Tabus, Doença tem Tratamento no SUS [Internet]. Brasilia: MS;2021 [citado 2023 Fev 20]. Disponível em: https://www.gov.br/saude/pt-br/assuntos/noticias/2021/maio/dia-nacional-da-pessoa-com-esquizofrenia-cercada-de-tabus-doenca-tem-tratamento-no-sus

3. American Psychiatric Association. Manual diagnóstico e estatístico de transtornos mentais: DSM-5. 5a ed. Porto Alegre: Artmed; 2014.

4. Rangel BL, Santos A dos. Aspectos genéticos da esquizofrenia: revisão da literatura. Uningá Review. 2013;16(3):27-31. https://revista.uninga.br/uningareviews/article/view/1477

5. Robinson N, Bergen SE. Environmental Risk Factors for Schizophrenia and Bipolar Disorder and Their Relationship to Genetic Risk: Current Knowledge and Future Directions. Front Genet. 2021;12:686666 https://doi.org/10.3389/fgene.2021.686666 PMid:34262598 PMCid:PMC8273311

6. Araripe AGA Neto, Bressan RA, Busatto G Filho. Fisiopatologia da esquizofrenia: aspectos atuais. Arch Clin Psychiatry. 2007;34(2 Suppl):198-203. https://doi.org/10.1590/S0101-60832007000800010

7. Vallada HP Filho, Samaia H. Esquizofrenia: aspectos genéticos e estudos de fatores de risco. Rev Bras Psiquiatr. 2000;22(1 Suppl):2-4. https://doi.org/10.1590/S1516-44462000000500002

8. Silva RCB. Esquizofrenia: uma revisão. Psic USP. 2006;17(4):263-85. https://doi.org/10.1590/S0103-65642006000400014

9. Soares-Weiser K, Weiser M, Davidson M. Uso de maconha na adolescência e risco de esquizofrenia. Rev Bras Psiquiatr. 2003;25(3):131-32. https://doi.org/10.1590/S1516-44462003000300003 PMid:12975685

10. Silventoinen K, Piirtola M, Jelenkovic A, Sund R, Tarnoki AD, Tarnoki Dl, Medda E, Nisticò L, Toccaceli V, Honda C, Inui F, Tomizawa R, Watanabe M, Sakai N, Gatz M, Butler DA, Lee J, Lee SJ, Sung J, Franz CE, Kremen WS, Lyons MJ, Derom CA, Vlietinck RF, Loos RJF, Tynelius P, Rasmussen F, Martin NG, Medland SE, Montgomery GW, Brandt I, Nilsen TS, Harris JR, Tyler J, Hopper JL, Magnusson PKE, Pedersen NI, Dahl Aslan AK, Ordoñana JR, Sánchez-Romera JF, Colodro-Conde L, Rebato E, Zhang D, Pang Z, Tan Q, Silberg JL, Maes HH, Boomsma DI, Sørensen TIA, Korhonen T, Kaprio J. Smoking remains associated with education after controlling for social background and genetic factors in a study of 18 twin cohorts. Sci Rep. 2022;12(1):13148. https://doi.org/10.1038/s41598-022-17536-x PMid:35909142 PMCid:PMC9339539

11. Silveira JLF da, Oliveira RL de, Viola BM, Silva TM da, Machado RM. Esquizofrenia e o uso de álcool e outras drogas: perfil epidemiológico. Ver Rene. 2014;15(3):436-46. https://doi.org/10.15253/2175-6783.2014000300008

12. Oliveira RM de, Siqueiro AC Jr, Santos JLF, Furegato ARF. Nicotine dependence in the mental disorders, relationship with clinical indicators, and the meaning for the user. Rev Lat Am Enfermagem. 2014;22(4):685-92. https://doi.org/10.1590/0104-1169.3549.2468 PMid:25296154 PMCid:PMC4292645

13. Rondina RG, Gorayeb R, Botelho C. Relação entre tabagismo e transtornos psiquiátricos. Arch Clin Psychiatry. 2003;30(6):221-28. https://doi.org/10.1590/S0101-60832003000600005

14. Archibald L, Brunette MF, Wallin DJ, Green AI. Alcohol use disorder and schizophrenia or schizoaffective disorder. Alcohol Res. 2019 Dec 20;40(1):1-9. https://doi.org/10.35946/arcr.v40.1.06 PMid:31886105 PMCid:PMC6927747

15. Schmengler H, Oldehinkel AJ, Vollebergh AMW, Pasman JÁ, Hartman CA, Stevens GWJM, Nolte IM, Peeters M. Disentangling the interplay between genes, cognitive skills, and educational level in adolescent and young adult smoking - The TRAILS study. Soc Sci Med. 2023;336:116254 https://doi.org/10.1016/j.socscimed.2023.116254 PMid:37751630

16. Bray NJ, Owen MJ, O'Donovan MC, Walters JT. Genomics of schizophrenia, bipolar disorder and major depressive disorder. Nat Rev Genet. 2025:1-16. https://doi.org/10.1038/s41576-025-00843-0 PMid:40355602

Debates em Psiquiatria, Rio de Janeiro. 2025